We all want to see a better tomorrow. It’s not enough that we have functional and safe electric vehicles on the road today; now we want them to go farther on every battery charge. It’s not enough that we can power a small town with solar or wind energy; now we want to power big metro areas.
Continuous improvement is a prevailing theme in many devices and technologies we use every day, and great breakthroughs are often only the beginning of the journey to higher levels of efficiency and performance. Today’s technologies focused on creating efficient and effective water heating systems to meet growing hot water demands are no exception.
Compared to traditional tank-style water heaters, today’s state-of-the-art tankless water heaters are much more energy efficient, environmentally friendly and safer against waterborne bacteria.
What about continuous improvement? How can plumbing and mechanical engineers achieve even more from tankless water heaters?
The answer is a new approach to sizing tankless for commercial applications, leveraging data to right-size hot water systems optimized for specific commercial properties and client needs. Rather than relying on loose assumptions often employed today, using real-world data allows plumbing engineers to help building owners and managers achieve new levels of safety, efficiency and cost/space savings.
It is imperative to optimally size domestic hot water (DHW) systems. When designing these systems, it would be easy to simply select equipment meeting, for example, double or triple our design load in the name of safety and redundancy. However, as engineers, it is our job to thread the needle between design safety and the client’s needs.
Thus, the goal of an effective sizing tool for an on-demand water heater is to identify equipment with enough capacity to meet the peak demand of the building while incorporating an optimized safety factor.
Inefficiencies of Current DHW Sizing Practices
Sizing DHW systems is a balancing act between two extremes. On the one hand, sizing buildings for 100% simultaneous fixture use would be a tremendous waste of resources. Not only is this condition statistically negligible, but, as a matter of practicality, the equipment required to meet such a high demand would not even fit in the boiler room.
On the other hand, simply sizing for average use without regard for peak conditions may leave a building without sufficient hot water during periods of high volume.
“Intelligent consumption is using only as much as you need.
“Likewise, intelligent engineering is specifying only what’s needed.”
Thus, the central question is: What constitutes actual peak demand conditions?
To determine the correct approach to sizing these systems, let us first look at the most common tankless water heating sizing methodology.
Enter the Modified Hunter’s Curve (MHC). This sizing methodology evolved from the Hunter’s Curve developed in the 1940s by Dr. Roy B. Hunter of the National Bureau of Standards. The MHC centers around the theory of fixture diversity, which states that to accurately predict peak flow rate in a plumbing system, it is necessary to engage in statistics.
The fundamental concept is the “fixture unit,” a term developed by Hunter. Each fixture using potable water is assigned a fixture unit number that combines its flow rate and probability of use into an empirical value. Once all fixture units are added together, the MHC can be used to estimate peak flow rate. The MHC comprises a family of curves that outline what peak water usage looks like in various building types (see Figure 1).

Let’s run through a quick example using a 150-room hotel located in Chicago. Table 1 outlines the sizing criteria for this hotel. In addition to the 150 hotel rooms, the building has two commercial laundry machines and a small prep kitchen with five hand sinks. Water is delivered to the fixtures at 120 F, with an average fixture temperature of 105 F at the point of use.

Table 2 shows the fixture unit calculation for our hotel. We use the ASHRAE-assigned fixture unit values for each fixture to calculate our total fixture unit count.

The calculation in Table 2 leaves us with a fixture unit total of 363. We can use Curve B on the MHC (Figure 2) to determine our estimated peak flow rate.

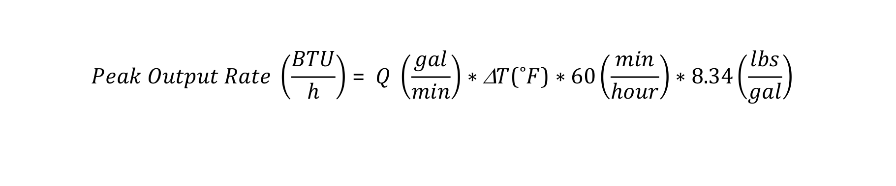
Curve B suggests that the estimated peak flow rate for our 150-room hotel is 60 gpm. To compute the required output rate of our water heating equipment, we use Equation 1.

Plugging in our values to the above equation yields the following:
The result is an output rate requirement of 1,801,440 BTU/hr. Our tankless water heating system must provide this output rate to satisfy the peak hot water load.
The methodology employed using this approach is quite sound. The MHC sizing method espouses that peak consumption does not mean throwing open every DHW fixture and adding up the flow rates. Rather, this approach correctly recognizes that peak hot water consumption occurs in a diversified manner.
The MHC uses probability to determine how many fixtures are open simultaneously, which is then used to calculate peak load. However, it is well known in the engineering community that the MHC uses conservative flow rate estimations with a large safety factor to determine peak usage. This means we are likely still oversizing our equipment rather than optimizing for efficiency.
Better Results with Data-Driven Engineering
Let’s look at another approach. What if we had actual water usage data from the site we were sizing?
In the next example, we take real-flow meter data from the same 150-room hotel. Flow meters were installed on the building system for seven days during peak occupancy. In addition to the 150 hotel rooms, the building has two commercial laundry machines and a small prep kitchen with five hand sinks. Water is delivered to the fixtures at 120 F, with an average fixture temperature of 105 F at the point of use.
Figure 3 displays 24-hour data representing a statistically significant day when hot water demand exceeded average usage values.

Figure 3 shows our peak flow rate is slightly under 30 gpm. Using Equation 1, we calculate peak demand at 891,000 BTU/hr.
This means we must install a tankless water heater capable of an output rate of 900,000 BTU/hr. to satisfy my peak hot water load. That’s quite a difference from our MHC analysis.
Using data to drive the design has reduced our example’s equipment size by almost 50%. Additionally, we are not reliant on an overly generalized method that defers to oversizing in lieu of efficiency.
Accessing the Necessary Data
So, what should the approach be when data is not readily available? New constructions, in particular, would seem to present a challenge to accessing the necessary flow meter data to aid in sizing.
Here’s the good news: Some water heater manufacturers now use real-world data to drive their system design, with the most cutting-edge companies offering guaranteed equipment sizing, going so far as offering free additional equipment if their sizing projections fail to produce the necessary volume of hot water.
These manufacturers use databases of thousands of similar-use facilities, including real-world flow profiles, geographic locations, outlet temperature preferences, and more, allowing customers to move well beyond assumption-based projections to real-life usage. This approach offers an even more robust sizing selection than flow meter data alone, as it leverages real-world data from sites across the country with similar usage patterns.
Additionally, this data is not limited to a seven-day analysis period but rather can span thousands of hours of operation, accounting for variations in usage characteristics.
In our increasingly data-driven world, relying solely on old-school sizing estimates is counter to the spirit and future of the engineering enterprise. Technology allows us to reach past our previous limitations and deliver solutions grounded in reality.
As we work to see a better future, it often takes time and effort to make the necessary changes that will pave the way forward. Using on-demand water heaters for commercial properties is one way we can push the needle forward regarding efficiency and carbon reduction.
Correctly sizing these systems is a critical step in their widespread adoption. And, although previous sizing practices that routinely overestimate required capacity have built up some inertia, all it takes is a strong enough counterforce to overcome it and continuously improve our profession.
Robbie Svidron serves as Intellihot’s corporate trainer, bringing his field knowledge and expertise in water heating options to contractors and engineers across the country. Drawing experience in several engineering roles, he has a comprehensive understanding of various water heating systems, ranging from boilers with large storage tanks to gas-powered tank-type heaters to modern tankless and heat-pump water heaters.

_800x800_webp.webp?t=1775667064)



