Everyone knows it is inevitable for changes to occur when mechanical systems are installed in buildings. Yet, it is critical to discuss the importance of communication between those performing the installation and those who created the system layout.
Every change could have an impact on the layout or design of the fire sprinkler system. There are changes that can be detrimental to the system performance and changes that can be very beneficial, but the impact is unknown without communication. The best way to examine this is through a couple of examples.
Let’s begin with a trapeze hanger. When a trapeze hanger is sized using the tables provided in NFPA 13 [Table 17.3.1 (a) and Table 17.3.1(c) for English units in the 2022 edition with similar tables in earlier editions], the underlying assumption is the load of the suspended system is located at the center point of the trapeze member between the supporting hangers.
This is the worst case for the trapeze member. The standard has an allowance for scenarios where the suspended system piping is offset from the center point of the span. This uses the equivalent length formula to determine the span that should be selected from the tables when determining the required section modulus for the trapeze member.
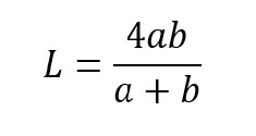
The equivalent length formula can often reduce the span used in the tables, thereby reducing the needed section modulus (i.e., size) for the trapeze member. Here is the formula (A.17.3):

where L is the equivalent length,
a is the distance from one support to the system load on the trapeze member,
and b is the distance from the other support to the system load.
When the size of the trapeze member is reduced by using the equivalent length, the material cost is typically reduced, too. If there is only one trapeze member for the system, then this may be minimal. However, this could be significant if there are many trapeze hangers for the system. If the system has been planned to take advantage of equivalent length, but the supported system line using trapeze hangers must be moved in the field, what is the impact?
There are situations where moving the line over a foot, possibly to avoid other mechanical systems in the space, may not alter the required size of the trapeze member. However, in other scenarios, moving 6 inches or 1 foot could mean a larger-diameter trapeze is needed. Communicating the change of piping location to the layout technician means details such as the trapeze hanger can be reviewed to ensure an adequate installation.
Changing the Pipe Direction
Another example demonstrating how a minor field change could have great impact is changing the pipe direction, even in a small space. In Figure 1, you see a residential unit protected with four sprinklers (numbered 301-304) in accordance with NFPA 13. These sprinklers are supplied from a main running horizontally in the figure, feeding two branch lines shown by vertical lines. This is the planned layout for the system.
Upon installation, the piping is rerouted to feed the sprinklers, as shown in Figure 2. The residential unit now has the same orientation as in Figure 1, and the sprinklers (numbered 401-404) are in the same location, but the piping is different. So, what is the impact?
At first glance, this may appear to be a better fit based on other mechanical systems nearby or an easier path for the piping around the structural elements. Yet, what actually changes with the rerouted system? It is possible that altering the arrangement of elbows and fittings required to fit the system in place reduced some labor on the project.
Some quick measurements would also show that the total length of 1-inch pipe is less in Figure 2. Less pipe would also mean fewer hangers to support the system. This could be a cost savings for the material installed for the project.
Let’s look closer. In Figure 1, the branch line that connects to the main at node No. 4 feeds two sprinklers. The same point is labeled node No. 5 in Figure 2 but now feeds three sprinklers. This will change the hydraulic calculations for this system. It is likely that the pipe between sprinkler No. 403 and node No. 5 would need to be a larger diameter to accommodate the expected flow and keep friction loss down. Depending on the available water supply, this modification may not be feasible.
It is common for the sprinkler layout and calculation to include a safety factor allowing for a few extra fittings during installation for moving around an obstruction or two. Yet, changing the pipe direction even when saving material will need to be analyzed to determine if it is still adequate.
For example, if the calculations change to require more pressure that is not available from the water supply, it could mean a fire pump would now be needed or a larger capacity fire pump if one was already part of the system.
This highlights the need to communicate any changes between the layout and the field. Changes should not be viewed as negative, but there can be consequences that need to be vetted. Open lines of discussion allow for the best outcomes and efficient installations.
There are many ways to install a sprinkler system to comply with the standards. The best systems are those where the team communicates regularly so the field crew has the information they need to efficiently install the system, and the layout technicians ensure that any changes fit within the standard, site details (such as available water supply) and created plan. Open discussions can manage project costs and produce the best product for the clients.
The details matter. Good communication ensures the best outcomes. l
Victoria Valentine, PE, FSFPE, is the director of engineering and technical services for the American Fire Sprinkler Association. She has served the fire sprinkler industry for more than 20 years, working in nonprofit associations focused on codes/standards development and training programs. Valentine is a licensed engineer and Fellow of the Society of Fire Protection Engineers.
The author would like to thank Eric Rieve, Rieve Fire Protection, for the figures in this article.


_800x800_webp.webp?t=1775667064)



